Iodometric Determination of Neutral Amino Acids Using Potassium Iodate
Abstract
In this work, we have reported a simple, cost effective and reliable method for the determination of neutral α-amino acids iodometrically by making use of potassium iodate. This volumetric method determines amino acids instantly, thereby greatly reduces the time of determination.
Author Contributions
Academic Editor: Ashish Kumar, Department of Chemistry, Lovely Professional University Phagwara.
Checked for plagiarism: Yes
Review by: Single-blind
Copyright © 2022 Ranjitha Vijayan, et al.
This is an open-access article distributed under the terms of the Creative Commons Attribution License, which permits unrestricted use, distribution, and reproduction in any medium, provided the original author and source are credited.
Competing interests
The authors have declared that no competing interests exist.
Citation:
Introduction
Amino acids and proteins are the building blocks of life. When proteins are digested or broken down, amino acids are left. The human body uses amino acids to make proteins to help the body. Although various methods are reported in the literature for the determination of α-amino acids, few are commonly used. The important colorimetric reagents for the determination of α-amino acids include ninhydrin1, 3,5-dibromosalicyladehyde2 and o-diacetylbenzene3. During 1999, Rai et al4 successfully used chloaramine-T for the titrimetric determination of neutral α-amino acids.
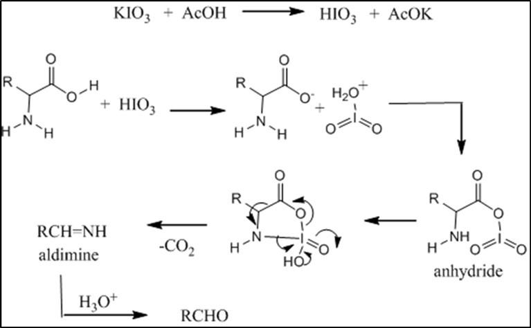
Literature survey revealed that KIO3/KI in acetic acid is used as iodination agent at 110oC5. Selective oxidation of n-butylbenzene to 1-phenylbutyl acetate was achieved by ammonium iodate and catalytic N-hydroxyphthalimide (NHPI) in presence of acetic acid6. Recently Rai et al used KIO3, as a novel oxidising agent for the synthesis of isoxazolines7, for the synthesis of cyclohexenone from cyclohexanone8 and for the estimation of glucose9. In continuation of our work on synthetic and analytical applications of HIO3, we thought of an operationally simple titrimetric method for the determination of α-amino acids. The method reported here makes use of the fact that α-amino acids is known to undergo oxidation by HIO3, yielding aldehydes involving one molecule of HIO3 per molecule of α-amino acids. From the mechanism shown below, it is evident that the reactive site involved for the attack of HIO3 is the carboxyl group. This moiety is more reactive than the other functional groups. The probable mechanism for the oxidation of amino acid involves the protonation of HIO3 first followed by the attack of carboxylate anion to the protonated HIO3 forming the anhydride, which then reacts with amino group to form a cyclic intermediate (Scheme 1). This underwent disproportionation to give aldimine with the elimination of carbon dioxide. During work up process; the aldimine gets hydrolysed to form the aldehyde.
Materials & Methods
All reagents and chemicals used were of analytical reagent grade and were procured from SRL, India. Distilled water was used throughout the experiment.
In a typical experiment, a known excess of standard solution of HIO3 was added to a known amount of α-amino acid. After completion of the reaction, unreacted HIO3 was determined by iodometry. By carrying out a blank experiment simultaneously, the amount of HIO3 consumed was determined. As the overall reaction requires one mole of HIO3 per molecule of amino acid, which is equivalent to one mole of iodine, the molecular weight ‘M’ of α-amino acid is determined using the equation 1.
One mole of amino acid ≡ one mole of HIO3 ≡ One mole of iodine ≡ 2000 ml of 1N sodium thiosulphate
i.e. M gm. of amino acid ≡ 2000 ml of 1N sodium thiosulphate
“w” gm. of amino acid ≡ (V1-V2) ml of N sodium thiosulpate
Where, M = Molecular weight of α-amino acid
w = Weight of the given sample
V2 = Volume of sodium thiosulphate consumed (Blank)
V1 = Volume of sodium thiosulphate consumed (experimental)
N = molarity of sodium thiosulphate
Determination of Molecular Weight of α-Amino Acids
An accurately weighed (20-60mg) sample of α-amino acid was dissolved in distilled water (10ml) in an Erlenmeyer flask. To this, a solution of 0.01 mol of HIO3 was introduced and it was heated to about 65oC on water bath for 2 hr, to this solution about 5ml of dilute sulphuric acid and 5ml of 10% potassium iodide was added and the liberated iodine was titrated against the standardised sodium thiosulphate solution using starch as indicator. In a similar way, a blank titration was conducted without adding glucose under identical condition. From the difference in the volume of sodium thiosulphate solution consumed, the molecular weight ‘M’ was calculated using equation 1.
Results and Discussions
The method reported here makes use of the fact that α-amino acid is known to undergo an oxidative decarboxylation by HIO3, yielding the aldehyde by consuming one mole of HIO3 per one molecule of α-amino acid. Generally a known volume of HIO3 is added to known mass of α-amino acid, after the completion of the reaction, the unreacted HIO3 is determined iodometrically. By carrying out a parallel blank experiment the amount of the HIO3 consumed is determined. As the overall reactions require one mole HIO3 per one mole of the α-amino acid, which is equivalent to mole of iodine, weight of the α-amino acid is determined by using equation 1.
Conclusion
We have developed a reliable, cost effective method for the determination of neutral amino acids using mild conditions and without the use of any sophisticated instruments and also this method requires short time.
Acknowledgements
All the authors are grateful to the Department of chemistry, Mangalore University, PG centre, Chikaluvar, Kodagu, Karnataka, India for providing lab facilities for carrying out this work.


