In Vitro Activity of Iclaprim Against Methicillin-Resistant Staphylococcus aureus Nonsusceptible to Daptomycin, Linezolid or Vancomycin
Abstract
Iclaprim is a novel bacterial dihydrofolate reductase inhibitor in Phase 3 clinical development for the treatment of acute bacterial skin and skin structure infections and hospital acquired bacterial pneumonia caused by Gram-positve bacteria. Daptomycin, linezolid and vancomycin are commonly used antibiotic for these indications. With increase selective pressure to these generic antibiotics, outbreaks of bacterial resistance to these antibiotics have been reported. This in vitro study evaluated the activity of iclaprim against methicillin-resistant Staphylococcus aureus (MRSA) isolates, which were also not susceptible to daptomycin, linezolid or vancomycin. Iclaprim had an MIC ≤1 µg/ml to the majority of MRSA isolates that were nonsusceptible to daptomycin (5 of 7 71.4%), linezolid (26 of 26 100%), or vancomycin (19 of 28 66.7%). In time-kill curves analyses, iclaprim demonstrated ≥3 log10 reduction in CFU/mL at 4-8 hours for tested strains and isolates nonsusceptible to linezolid or vancomycin. Together these data support the use of iclaprim in serious infections caused by MRSA nonsusceptible to daptomycin, linezolid or vancomycin.
Author Contributions
Academic Editor: Feng Ding, Wenzhou Medical University, Ph.D
Checked for plagiarism: Yes
Review by: Single-blind
Copyright © 2017 David B Huang et al
This is an open-access article distributed under the terms of the Creative Commons Attribution License, which permits unrestricted use, distribution, and reproduction in any medium, provided the original author and source are credited.
Citation:
Introduction
Iclaprim represents a novel diaminopyrimidine that inhibits bacterial dihydrofolate reductase of Gram-positive pathogens.1, 2 Iclaprim exhibits potent in vitro activity against Gram-positive pathogens associated with acute bacterial skin and skin structure infections (ABSSSI) and nosocomial pneumonia including Staphylococcus aureus, Enterococcus spp., and Streptococcus spp.1 Iclaprim demonstrates rapid in vitro bactericidal activity in time kill studies in human plasma.3 Iclaprim is in Phase 3 clinical development for the treatment of acute bacterial skin and skin structure infections and nosocomial pneumonia. Daptomycin, linezolid and vancomycin are commonly used antibiotic for these indications, however, increased selective pressure to these generic antibiotics have resulted in outbreaks of bacterial resistance to these antibiotics. Because this emerging resistance, this current study was done to evaluate iclaprim’s activity against MRSA isolates that were nonsusceptible to daptomycin, linezolid, or vancomycin.
Materials and Methods
Antibacterial susceptibility testing was conducted at the Department of Bacteriology, Glasgow Royal Infirmary in Glasgow, Scotland4 and Eurofins Microbiology Laboratories on a range of MSSA and MRSA strains and isolates with varying susceptibilities to several recognized antistaphylococcal antibiotics. A total of 61 non-duplicative, non-consecutive isolates of methicillin-resistant S. aureus (MRSA), which were nonsusceptible to daptomycin, linezolid or vancomycin were obtained from Eurofins or Network on Antimicrobial Resistance to Staphlyococcus aureus (NARSA).
Clinical isolates were identified by the submitting laboratories and confirmed by using standard bacteriologic algorithms and methodologies.5 Susceptibility testing was performed according to broth microdilution protocols. Minimum inhibitory concentration (MIC) interpretations were based in accordance with the Clinical and Laboratory and Standards Institute (CLSI) guidelines M07-A10.5 S. aureus breakpoints for daptomycin, linezolid and vancomycin are ≤1, ≤4, and ≤2 µg/mL (4-8 µg/mL were classified as vancomycin intermediate S. aureus and ≥16 were classified as vancomycin resistant S. aureus), respectively. To date, there are no published clinical breakpoints for iclaprim. However, based on a number of factors (e.g., MRSA distribution of MICs, assessment of the pharmacokinetics/pharmacodynamics of iclaprim, and the study of the clinical outcomes of MRSA infections when iclaprim was used in Phase 2 and 3 studies) outlined in the CLSI M23 guideline, an iclaprim MIC ≤1 µg/mL for S. aureus, including MRSA has been proposed to FDA.
MRSA isolates were tested in cation-adjusted Mueller-Hinton broth (CA-MHB). Quality control and interpretation of results were performed in accordance with CLSI M100-S25 methods.5 QC ranges for iclaprim were those approved by CLSI and published in M100-S25.4 Iclaprim and comparator antibiotic MIC results were within the CLSI published ranges against S. aureus ATCC 29213. Isolates were tested with MIC panels (ThermoFisher Scientific, Cleveland, Ohio, USA) of comparator antibiotics (trimethoprim, trimethoprim-sulfamethoxazole, ceftriaxone, erythromycin, levofloxacin, oxacillin, meropenem, tetracycline, tigecycline, vancomycin, linezolid, and daptomycin).
Time-kill curves analyses, which were repeated three times, were performed by exposing 105 - 106 CFU/mL of each MRSA isolate or strain to icalprim, daptomycin, linezolid or vancomycin at 2, 4, and 8x MIC. Bactericidal activity was defined as a ≥3 log10 reduction in CFU/mL after 24 hours incubation.
Results
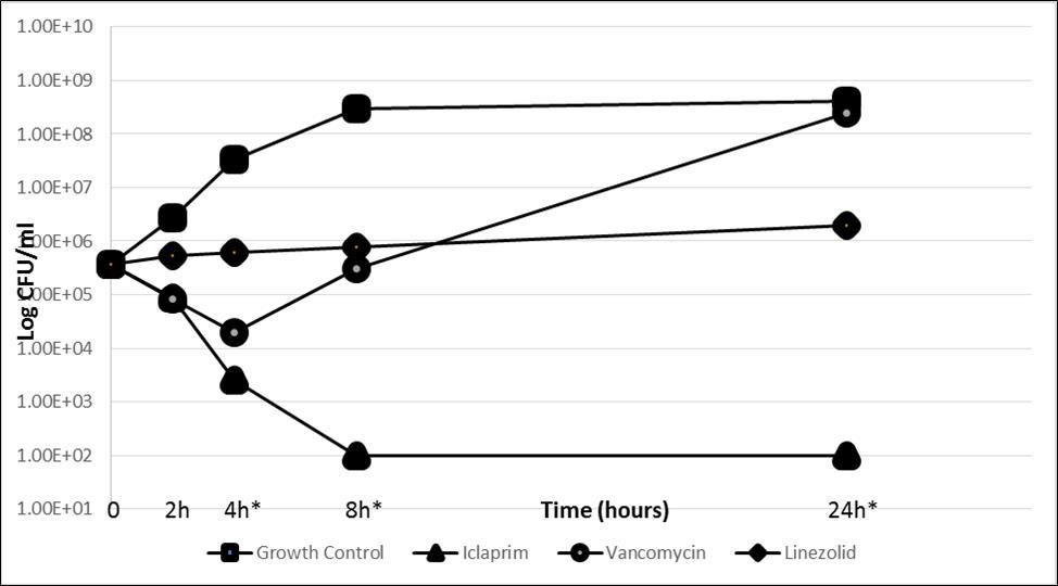
Table 1 shows that iclaprim exhibited potent activity against the majority of the 61 MRSA isolates that were nonsusceptible to daptomycin, linezolid or vancomycin (MIC50 0.25 µg/mL). In the Glasgow study, all strains and isolates of MRSA and MSSA had an iclaprim MIC ≤1 µg/mL.4 Iclaprim notably exhibited 100% activity against MRSA isolates (n=26) that were nonsusceptible to linezolid. A total of 9 (15.2%) isolates had reduced susceptibility to iclaprim with MICs >8 µg/mL (Table 1). These isolates were not clustered in time of isolate collection, infection type and/or geographic region. Figure 1A and Figure 1B shows representative time kill curves of iclparim, which exhibited bactericidal activity at 4-8 hours against MRSA strains and isolates nonsusceptible to daptomycin, linezolid or vancomycin. As expected, representative time kill curves of daptomycin exhibited no activity against MRSA strains and isolates nonsusceptible to daptomycin, linezolid exhibited no activity against MRSA strains and isolates nonsusceptible to linezolid, and vancomycin exhibited no activity against MRSA strains and isolates nonsusceptible to vancomycin.
Table 1. Iclaprim In Vitro Activity Against MRSA Isolates Nonsusceptible to Daptomycin, Linezolid, or Vancomycin| MRSA Phenotype (number) | Iclaprim MIC ≤1 µg/mL (%) | MIC Range (µg/mL) |
| Daptomycin Nonsusceptible (n=7) | 5/7 (71.4) | 0.12 - >8 |
| Linezolid Nonsuscepible (n=26) | 26/26 (100.0) | 0.03 – 1 |
| Vancomycin Intermediate (n=23) | 16/23 (69.6) | 0.25 - >8 |
| Vancomycin Resistant (n=5) | 3/5 (60.0) | 0.25 - >8 |
Figure 1A.Iclaprim Time Kill Curves Against MRSA Isolates Nonsusceptible to Linezolid Resistant to Vancomycin, and Nonsusceptible to Daptomycin, 2X MIC MRSA, Linezolid Nonsusceptible Strain (MIC ≥8 µg/mL), ATCC 986537, NRS271 *Iclaprim showed significantly lower CFU at 2h, 4h, 8h, and 24h compared to control, vancomycin and linezolid (P < 0.01; one-way ANOVA with Tukey’s post hoc test)
Figure 1B.Iclaprim Time Kill Curves Against MRSA Isolates Nonsusceptible to Linezolid Resistant to Vancomycin, and Nonsusceptible to Daptomycin, 2X MIC MRSA, Vancomycin Resistant Strain (MIC ≥32 µg/mL), ATCC 1409053, vanA positive *Iclaprim showed significantly lower CFU at 4h, 8h, and 24h compared to control, vancomycin and linezolid (P < 0.01; one-way ANOVA with Tukey’s post hoc test)
Discussion
This report shows that iclaprim, without the synergistic combination of a sulfonamide, was highly active and rapidly bactericidal against a collection of 61 MRSA clinical isolates with nonsusceptible phenotypes to daptomycin, linezolid or vancomycin. The MIC50 value of 0.25 µg/mL for MRSA documented in this study was consistent with MIC50 values in two previous surveillance reports for 5,937 Gram-positive isolates, including MRSA, beta-hemolytic streptococci (most commonly Streptococcus pyogenes and S. agalactiae), and S. pneumoniae.1, 6 These isolates were collected from patients in the US and EU (2004 to 2006)1 and patients in the US, Asia Pacific, Latin America, and Europe (2012-2014)6 with skin and soft tissue, blood stream and respiratory clinical specimens.
Based on MIC distributions of MRSA, assessment of the pharmacokinetics and pharmacodynamics of iclaprim, and the study of the clinical outcomes of MRSA infections when iclaprim was used in Phase 2 and 3 studies, an iclaprim MIC ≤1 µg/mL for S. aureus, including MRSA has been proposed to FDA, as the breakpoint for nonsusceptibility. The 80 mg fixed dose is based on prior animal models of infection studies, which suggest that the pharmacokinetic and pharmacodynamics (PK/PD) drivers, which best correlated with efficacy were area under the curve from 0-24 hours at steady state (AUC0-24hss), AUC/minimum inhibitory concentration (MIC), and time above the MIC during the dosing interval (T > MIC). In addition, using PK data collected from 470 patients from a Phase 3 complicated skin and skin infection (cSSSI) trials (ASSIST-1 & 2), population PK modeling and Monte Carlo simulation identified the fixed iclaprim 80mg dosage regimen optimally maximized AUC0-24hss, AUC/MIC, and T > MIC while minimizing probability of a Cmaxss ≥ 800 ng/mL, a concentration associated with dose limiting toxicity.7 Based on PK/PD analyses, iclaprim 80 mg administered over two hours every 12 hours will adequately cover S. aureus clinical isolates with an iclaprim MIC ≤1 µg/mL; therefore, this dose was selected as the dosing scheme for it ongoing Phase 3 clinical trials.
Conclusion
In conclusion, the results from this in vitro study confirm the potent and rapid bactericidal activity of iclaprim against clinical MRSA isolates, including those with nonsusceptibile phenotypes to daptomycin, linezolid or vancomycin. Continued surveillance is warranted to track the continued potency of iclaprim, as well as MRSA isolates nonsusceptible to daptomycin, linezolid and vancomycin,and to detect any potential emergence of resistance.
Acknowledgments
This study was funded by Motif BioSciences.
Conflict of Interest
DBH is an employee of Motif BioSciences. SH was a former employee of Arpida. DS was a former employee of Eurofins.
References
- 1.H S Sader, T R Fritsche, R N Jones. (2009) Potency and bactericidal activity of iclaprim against recent clinical gram-positive isolates. , Antimicrob Agents Chemother 53, 2171-5.
- 2.Schneider P, Hawser S, Islam K. (2003) Iclaprim, a novel diaminopyrimidine with potent activity on trimethoprim sensitive and resistant bacteria. , Bioorg Med Chem Lett 13, 4217-21.
- 3.Laue H, Valensise T, Seguin A, Lociuro S, Islam K et al. (2009) In vitro bactericidal activity of iclaprim in human plasma. , Antimicrob Agents Chemother 53, 4542-4.
- 4.C G Gemmell, Middlemas G. (2002) AR-100, a novel diaminopyrimidine: activity against various clinical isolates of gram-positive and gram-negative bacteria. Presented as poster at ICAAC. , San Diego
- 5.M100-S25. Clinical and Laboratory Standards Institute (2015) Performance standards for antimicrobial susceptibility testing: 25th informational supplement. , Wayne, PA
